Официальное опубликование правовых актов
ОФИЦИАЛЬНОЕ ОПУБЛИКОВАНИЕ
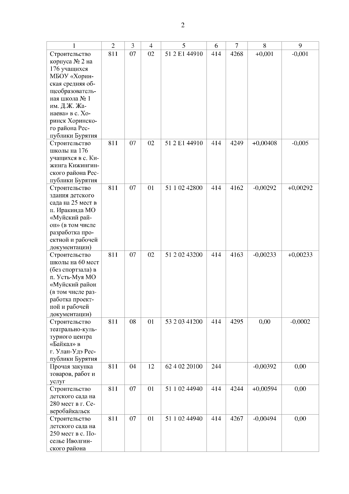
Распоряжение Правительства Республики Бурятия от 06.12.2023 № 1067-р
Номер опубликования: 0300202312080002
Дата опубликования: 08.12.2023
Страница №2 из 9:
Увеличить