Официальное опубликование правовых актов
ОФИЦИАЛЬНОЕ ОПУБЛИКОВАНИЕ
Постановление Правительства Республики Бурятия от 15.12.2017 № 589
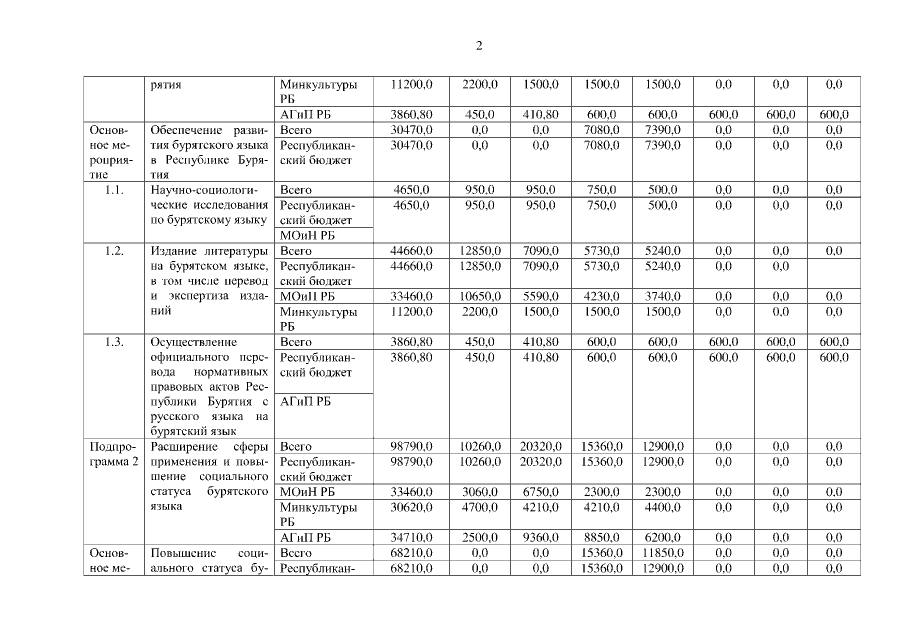
"О внесении изменений в постановление Правительства Республики Бурятия от 23.06.2014 № 289 "Об утверждении Государственной программы Республики Бурятия "Сохранение и развитие бурятского языка в Республике Бурятия"
Номер опубликования: 0300201712210006
Дата опубликования: 21.12.2017
Страница №9 из 12:
Увеличить