Официальное опубликование правовых актов
ОФИЦИАЛЬНОЕ ОПУБЛИКОВАНИЕ
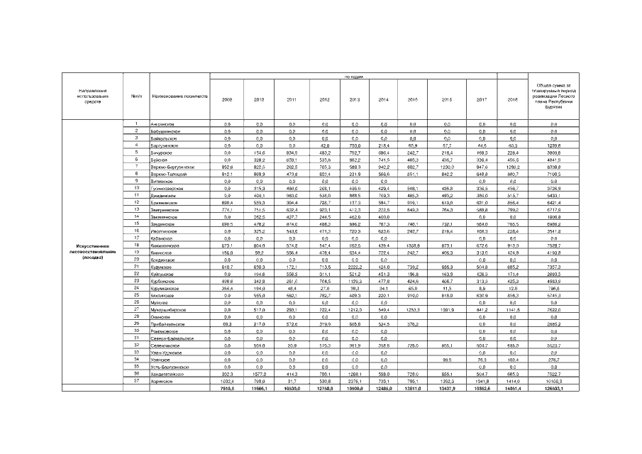
Постановление Правительства Республики Бурятия от 25.10.2017 № 515
"О внесении изменений в постановление Правительства Республики Бурятия от 31.12.2008 № 608 "Об утверждении Лесного плана Республики Бурятия"
Номер опубликования: 0300201711030001
Дата опубликования: 03.11.2017
Страница №521 из 525:
Увеличить