Официальное опубликование правовых актов
ОФИЦИАЛЬНОЕ ОПУБЛИКОВАНИЕ
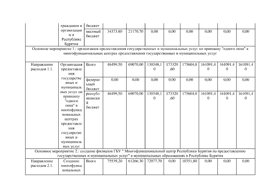
Постановление Правительства Республики Бурятия от 26.10.2017 № 517
"О внесении изменений в постановлениеПравительства Республики Бурятия от 10.04.2013 № 180 "Об утверждении Государственной программы Республики Бурятия "Совершенствование государственного управления"
Номер опубликования: 0300201710310002
Дата опубликования: 31.10.2017
Страница №63 из 64:
Увеличить