Официальное опубликование правовых актов
ОФИЦИАЛЬНОЕ ОПУБЛИКОВАНИЕ
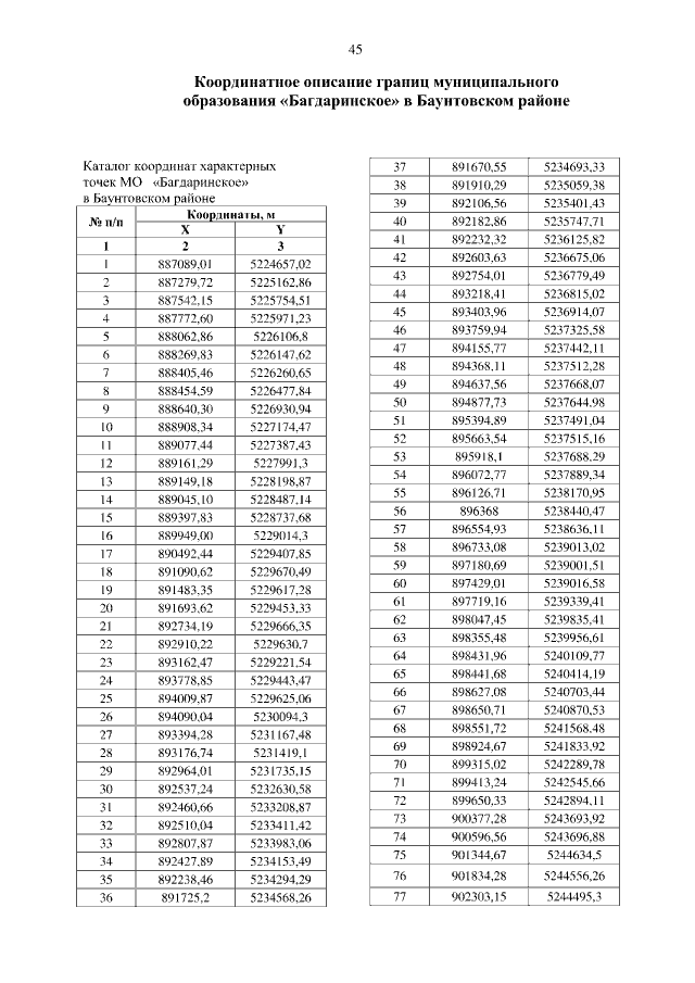
Закон Республики Бурятия от 07.07.2017 № 2477-V
"О внесении изменений в Закон Республики Бурятия "Об установлении границ, образовании и наделении статусом муниципальных образований в Республике Бурятия"
Номер опубликования: 0300201707140001
Дата опубликования: 14.07.2017
Страница №45 из 62:
Увеличить