Официальное опубликование правовых актов
ОФИЦИАЛЬНОЕ ОПУБЛИКОВАНИЕ
Указ Главы Республики Бурятия от 20.06.2017 № 122
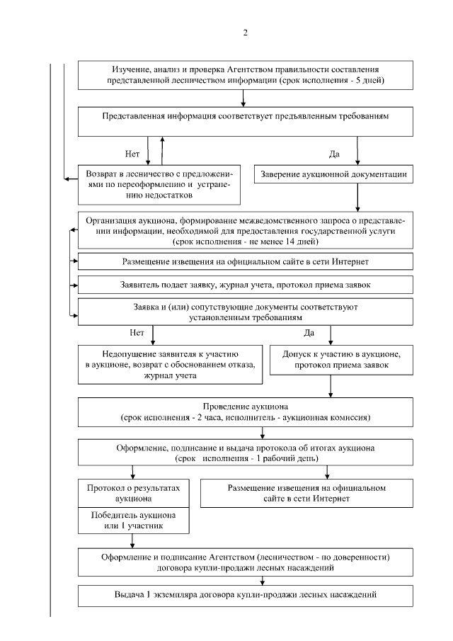
"О внесении изменений в указ Президента Республики Бурятия от 29.12.2011 № 286 "Об утверждении Административного регламента Республиканского агентства лесного хозяйства предоставления государственной услуги по заключению договоров купли-продажи лесных насаждений с организацией и проведением соответствующих аукционов"
Номер опубликования: 0300201706230010
Дата опубликования: 23.06.2017
Страница №21 из 24:
Увеличить