Официальное опубликование правовых актов
ОФИЦИАЛЬНОЕ ОПУБЛИКОВАНИЕ
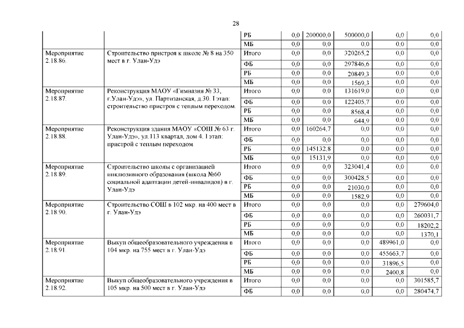
Постановление Правительства Республики Бурятия от 15.05.2017 № 215
"О внесении изменений в постановление Правительства Республики Бурятия от 06.02.2013 № 49 "Об утверждении Государственной программы Республики Бурятия "Развитие образования и науки"
Номер опубликования: 0300201705220012
Дата опубликования: 22.05.2017
Страница №76 из 99:
Увеличить