Официальное опубликование правовых актов
ОФИЦИАЛЬНОЕ ОПУБЛИКОВАНИЕ
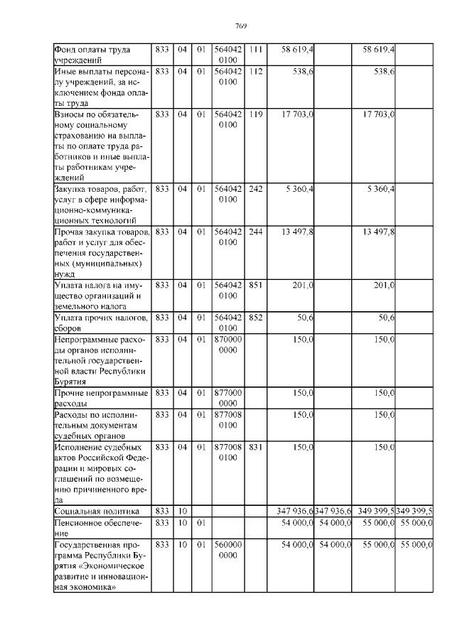
Закон Республики Бурятия от 10.05.2017 № 2402-V
"О внесении изменений в Закон Республики Бурятия "О республиканском бюджете на 2017 год и на плановый период 2018 и 2019 годов"
Номер опубликования: 0300201705150009
Дата опубликования: 15.05.2017
Страница №770 из 856:
Увеличить