Официальное опубликование правовых актов
ОФИЦИАЛЬНОЕ ОПУБЛИКОВАНИЕ
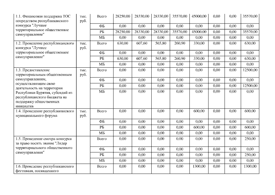
Постановление Правительства Республики Бурятия от 27.03.2017 № 113
"О внесении изменений в постановление Правительства Республики Бурятия от 10.04.2013 № 180 "Об утверждении Государственной программы Республики Бурятия "Совершенствование государственного управления"
Номер опубликования: 0300201703310001
Дата опубликования: 31.03.2017
Страница №16 из 79:
Увеличить