Официальное опубликование правовых актов
ОФИЦИАЛЬНОЕ ОПУБЛИКОВАНИЕ
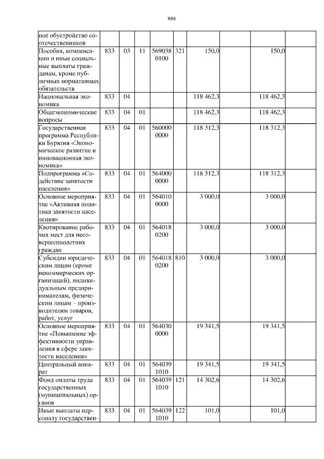
Закон Республики Бурятия от 07.03.2017 № 2297-V
"О внесении изменений в Закон Республики Бурятия "О республиканском бюджете на 2017 год и на плановый период 2018 и 2019 годов" и о приостановлении отдельных норм Закона Республики Бурятия "О республиканском бюджете на 2017 год и на плановый период 2018 и 2019 годов"
Номер опубликования: 0300201703130018
Дата опубликования: 13.03.2017
Страница №889 из 987:
Увеличить