Официальное опубликование правовых актов
ОФИЦИАЛЬНОЕ ОПУБЛИКОВАНИЕ
Постановление Правительства Республики Бурятия от 12.01.2017 № 6
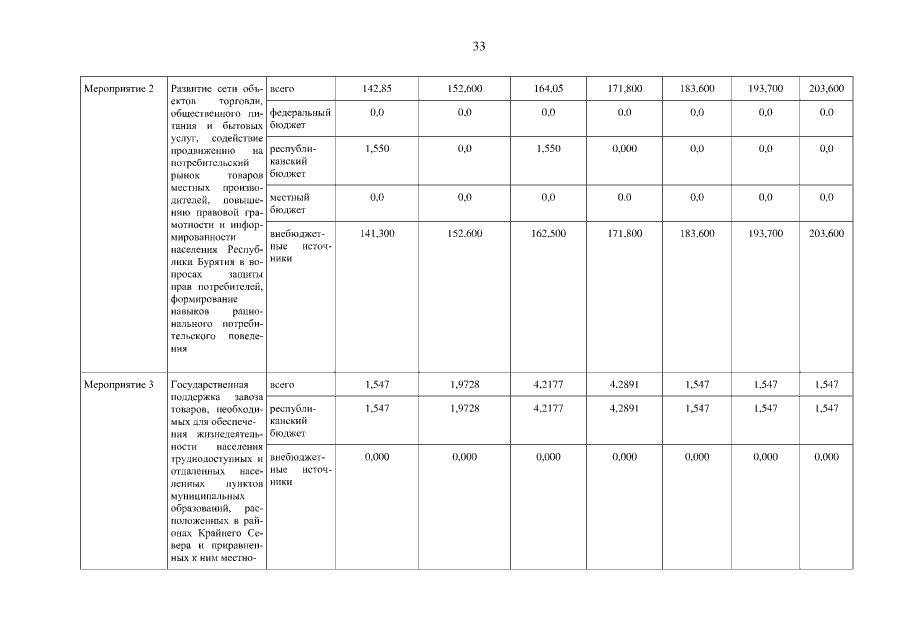
"О внесении изменений в постановление Правительства Республики Бурятия от 28.03.2013 № 151"Об утверждении Государственной программы Республики Бурятия "Развитие промышленности, малого и среднего предпринимательства и торговли"
Номер опубликования: 0300201701200007
Дата опубликования: 20.01.2017
Страница №33 из 47:
Увеличить