Официальное опубликование правовых актов
ОФИЦИАЛЬНОЕ ОПУБЛИКОВАНИЕ
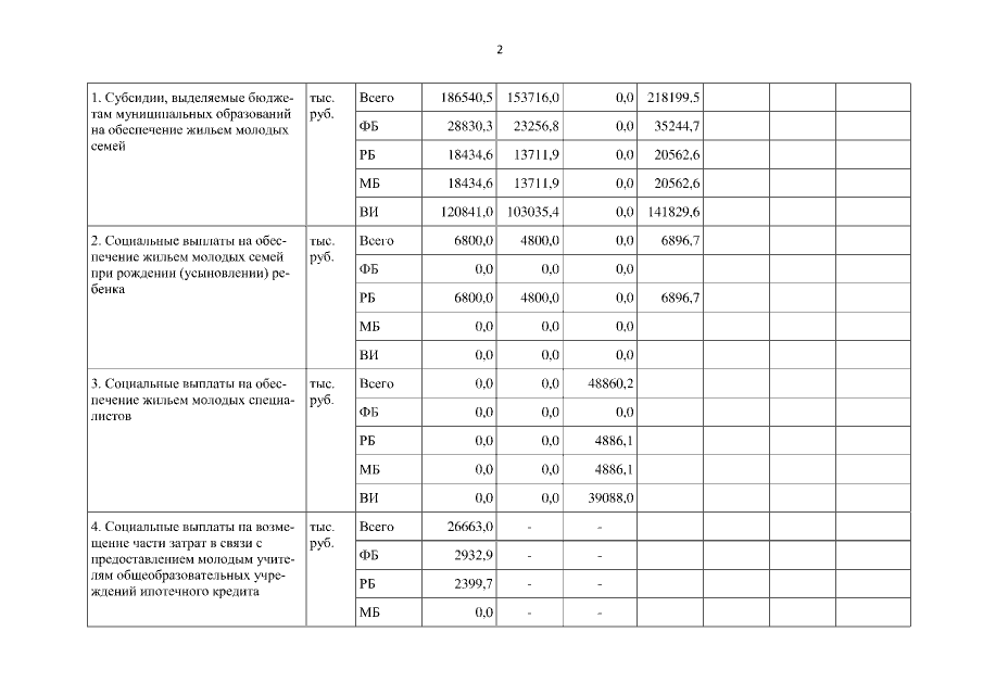
Постановление Правительства Республики Бурятия от 28.12.2016 № 617
"О внесении изменений в постановление Правительства Республики Бурятия от 02.08.2013 № 424 "Об утверждении Государственной программы Республики Бурятия "Развитие строительного и жилищно-коммунального комплексов Республики Бурятия"
Номер опубликования: 0300201612290024
Дата опубликования: 29.12.2016
Страница №30 из 79:
Увеличить