Официальное опубликование правовых актов
ОФИЦИАЛЬНОЕ ОПУБЛИКОВАНИЕ
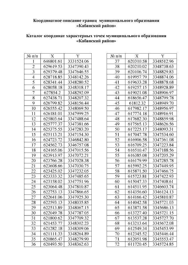
Закон Республики Бурятия от 25.11.2016 № 2084-V
"О внесении изменений в приложения к Закону Республики Бурятия "Об установлении границ, образовании и наделении статусом муниципальных образований в Республике Бурятия"
Номер опубликования: 0300201612050013
Дата опубликования: 05.12.2016
Страница №3 из 90:
Увеличить