Официальное опубликование правовых актов
ОФИЦИАЛЬНОЕ ОПУБЛИКОВАНИЕ
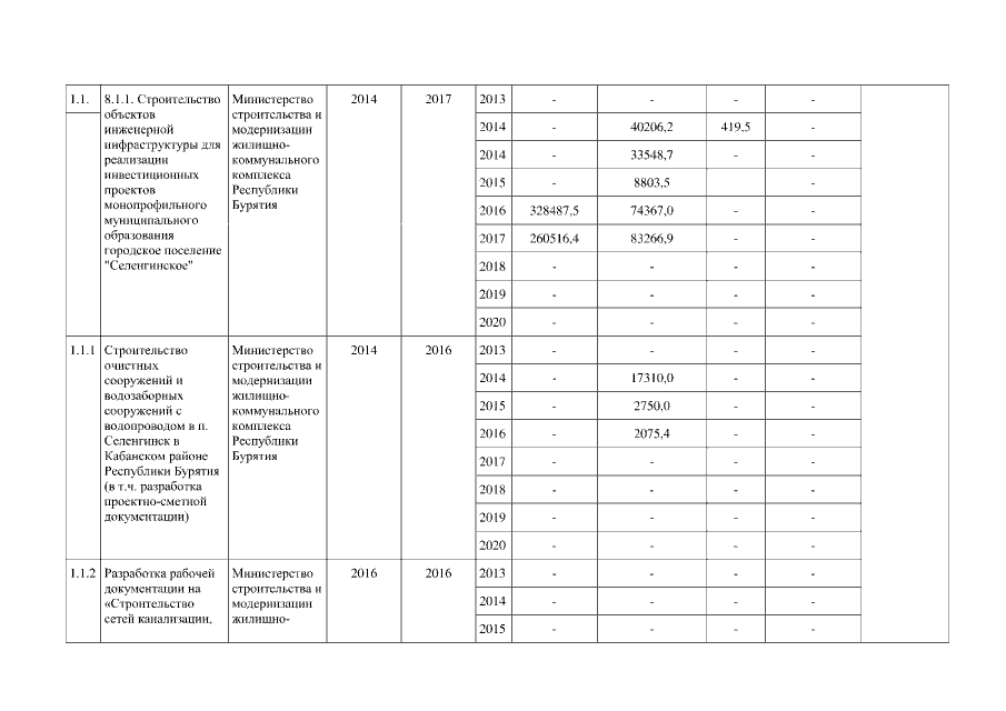
Постановление Правительства Республики Бурятия от 11.08.2016 № 375
"О внесении изменений в постановление Правительства Республики Бурятия от 31.05.2013 № 272 "Об утверждении Государственной программы Республики Бурятия "Экономическое развитие и инновационная экономика"
Номер опубликования: 0300201608220001
Дата опубликования: 22.08.2016
Страница №30 из 75:
Увеличить