Официальное опубликование правовых актов
ОФИЦИАЛЬНОЕ ОПУБЛИКОВАНИЕ
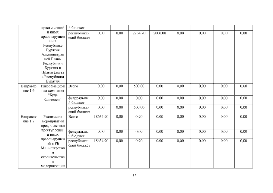
Постановление Правительства Республики Бурятия от 02.08.2016 № 364
"О внесении изменений в постановление Правительства Республики Бурятия от 10.04.2013 № 180 "Об утверждении Государственной программы Республики Бурятия "Совершенствование государственного управления"
Номер опубликования: 0300201608050001
Дата опубликования: 05.08.2016
Страница №53 из 61:
Увеличить