Официальное опубликование правовых актов
ОФИЦИАЛЬНОЕ ОПУБЛИКОВАНИЕ
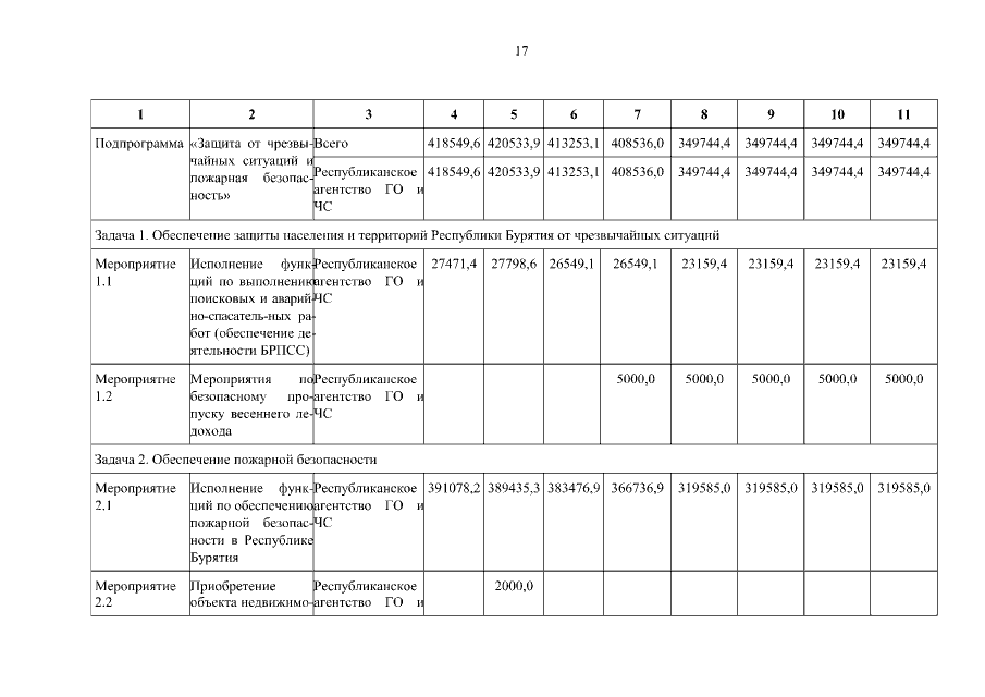
Постановление Правительства Республики Бурятия от 10.03.2016 № 83
"О внесении изменений в постановление Правительства Республики Бурятия от 05.02.2013 № 41 "Об утверждении Государственной программы Республики Бурятия "Безопасность жизнедеятельности"
Номер опубликования: 0300201603110002
Дата опубликования: 11.03.2016
Страница №17 из 24:
Увеличить