Официальное опубликование правовых актов
ОФИЦИАЛЬНОЕ ОПУБЛИКОВАНИЕ
Постановление Правительства Республики Бурятия от 03.11.2015 № 553
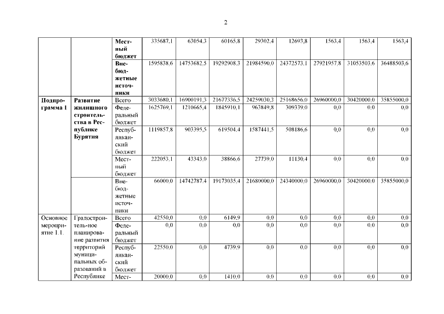
"О внесении изменений в постановление Правительства Республики Бурятия от 02.08.2013 № 424 "Об утверждении Государственной программы Республики Бурятия "Развитие строительного и жилищно-коммунального комплексов Республики Бурятия"
Номер опубликования: 0300201511030001
Дата опубликования: 03.11.2015
Страница №38 из 71:
Увеличить