Официальное опубликование правовых актов
ОФИЦИАЛЬНОЕ ОПУБЛИКОВАНИЕ
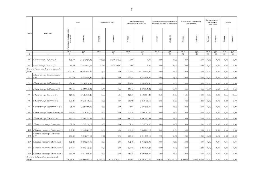
Постановление Правительства Республики Бурятия от 20.10.2015 № 533
"О внесении изменений в постановление Правительства Республики Бурятия от 27.06.2013 № 332 "Об утверждении Республиканской адресной программы "Переселение граждан из аварийного жилищного фонда, в том числе с учетом необходимости развития малоэтажного жилищного строительства в Республике Бурятия, в 2013 - 2017 годах"
Номер опубликования: 0300201510210002
Дата опубликования: 21.10.2015
Страница №64 из 119:
Увеличить