Официальное опубликование правовых актов
ОФИЦИАЛЬНОЕ ОПУБЛИКОВАНИЕ
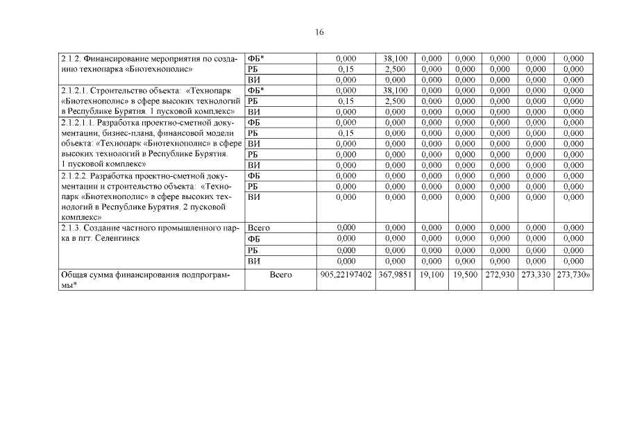
Постановление Правительства Республики Бурятия от 14.05.2015 № 223
"О внесении изменений в постановление Правительства Республики Бурятия от 28.03.2013 № 151 "Об утверждении Государственной программы Республики Бурятия "Развитие промышленности, малого и среднего предпринимательства и торговли"
Номер опубликования: 0300201505140001
Дата опубликования: 14.05.2015
Страница №16 из 17:
Увеличить