Официальное опубликование правовых актов
ОФИЦИАЛЬНОЕ ОПУБЛИКОВАНИЕ
Постановление Правительства Республики Бурятия от 05.03.2015 № 97
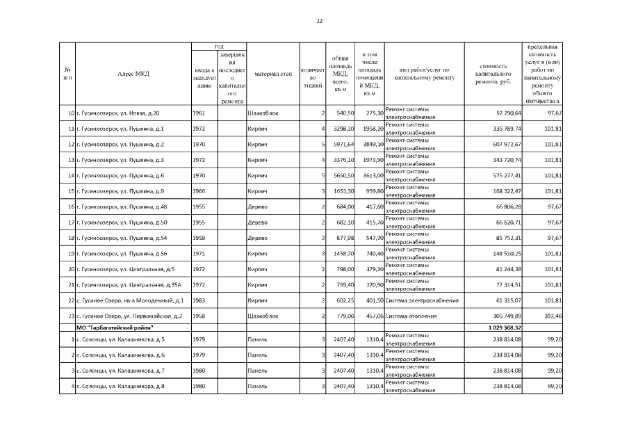
"О внесении изменений в постановление Правительства Республики Бурятия от 30.05.2014 № 250 "Об утверждении Республиканского краткосрочного плана реализации Республиканской программы "Капитальный ремонт общего имущества в многоквартирных домах, расположенных на территории Республики Бурятия, на 2014 - 2043 годы" на период 2014 - 2016 годов"
Номер опубликования: 0300201503050001
Дата опубликования: 05.03.2015
Страница №24 из 62:
Увеличить