Официальное опубликование правовых актов
ОФИЦИАЛЬНОЕ ОПУБЛИКОВАНИЕ
Указ Главы Республики Бурятия от 29.12.2014 № 220
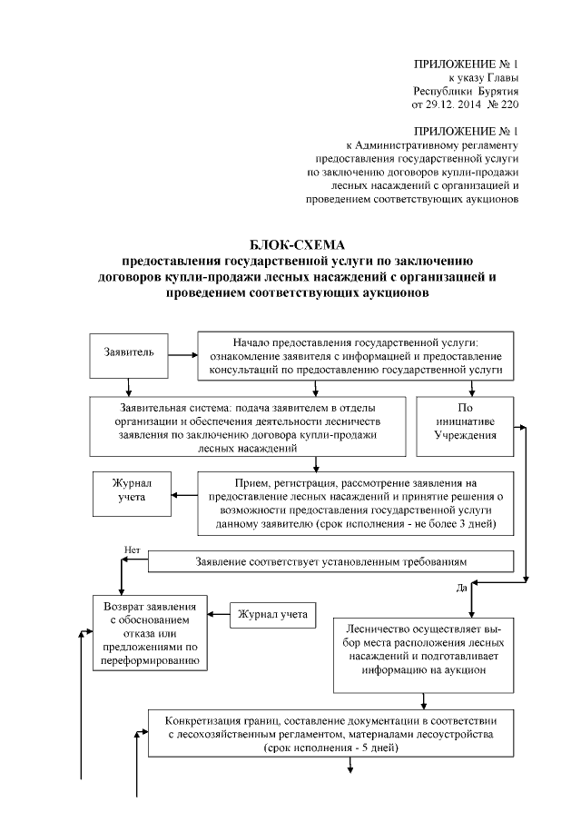
"О внесении изменений в указ Президента Республики Бурятия от 29.12.2011 № 286 "Об утверждении Административного регламента Республиканского агентства лесного хозяйства предоставления государственной услуги по заключению договоров купли-продажи лесных насаждений с организацией и проведением соответствующих аукционов"
Номер опубликования: 0300201412300005
Дата опубликования: 30.12.2014
Страница №13 из 30:
Увеличить