Официальное опубликование правовых актов
ОФИЦИАЛЬНОЕ ОПУБЛИКОВАНИЕ
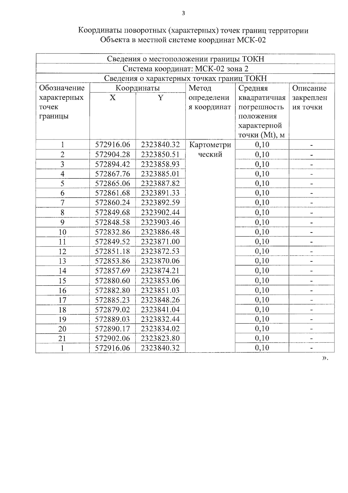
Приказ Управления по государственной охране объектов культурного наследия Республики Башкортостан от 24.03.2025 № 198
"О внесении изменения в приказ Управления по государственной охране объектов культурного наследия Республики Башкортостан от 17 января 2025 года № 48 "Об утверждении границ и режима использования территории объекта культурного наследия регионального значения "Бывшие директорские дома (жилые дома)", 1915–1916 гг., расположенного по адресу: Республика Башкортостан, г. Белорецк, ул. Красная, д. 7, д. 9"
(Зарегистрирован 02.04.2025 № 24226)
Номер опубликования: 0201202504080001
Дата опубликования: 08.04.2025
Страница №4 из 4:
Увеличить