Официальное опубликование правовых актов
ОФИЦИАЛЬНОЕ ОПУБЛИКОВАНИЕ
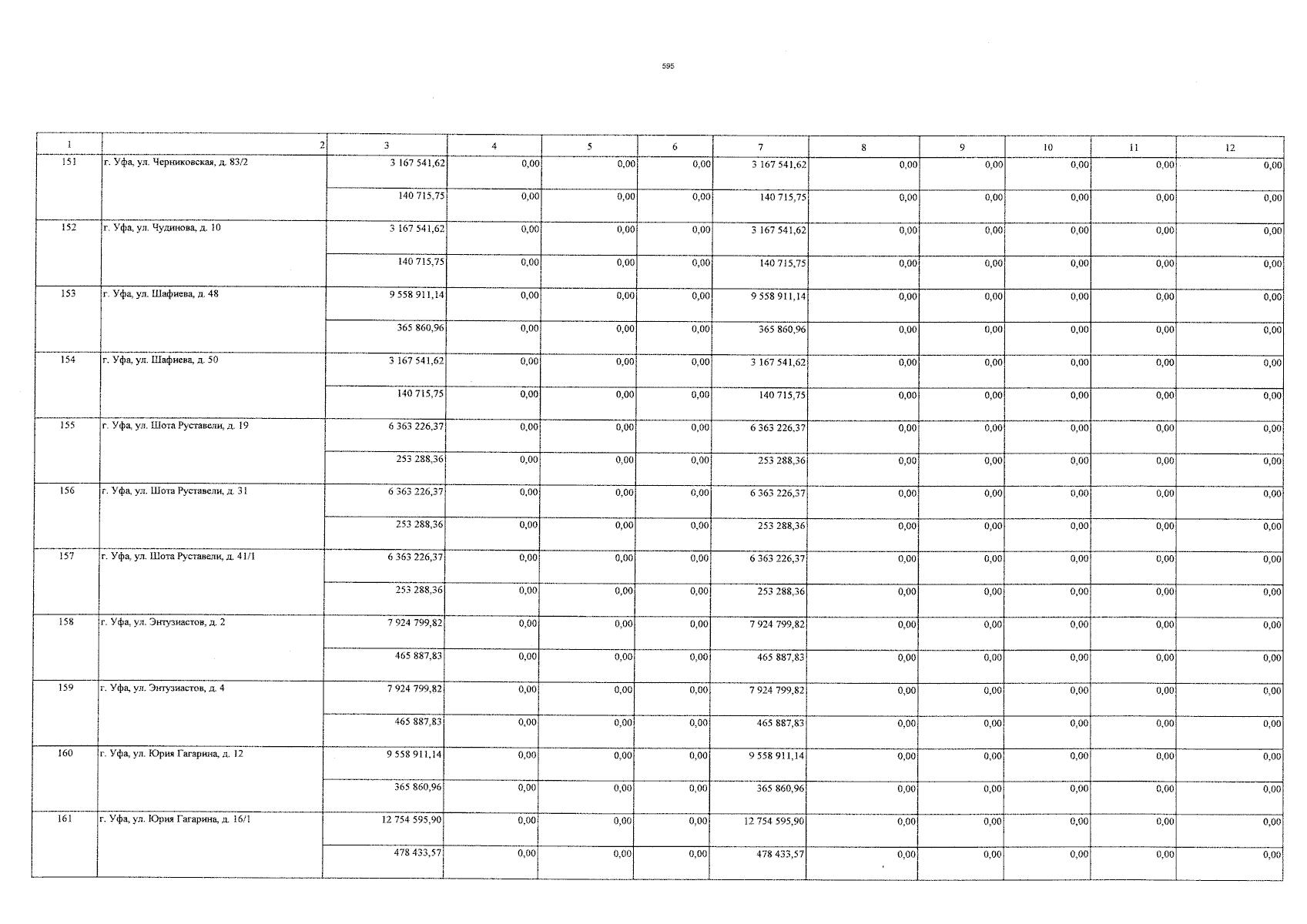
Приказ Министерства жилищно-коммунального хозяйства Республики Башкортостан от 10.11.2023 № М02-408
"О внесении изменений к краткосрочный план реализации Республиканской программы капитального ремонта общего имущества в многоквартирных домах, расположенных на территории Республики Башкортостан, на 2023-2025 годы, утвержденный приказом Министерства жилищно-коммунального хозяйства Республики Башкортостан от 17 сентября 2021 года №06/06-326"
(Зарегистрирован 05.12.2023 № 21289)
Номер опубликования: 0201202312080001
Дата опубликования: 08.12.2023
Страница №596 из 811:
Увеличить