Официальное опубликование правовых актов
ОФИЦИАЛЬНОЕ ОПУБЛИКОВАНИЕ
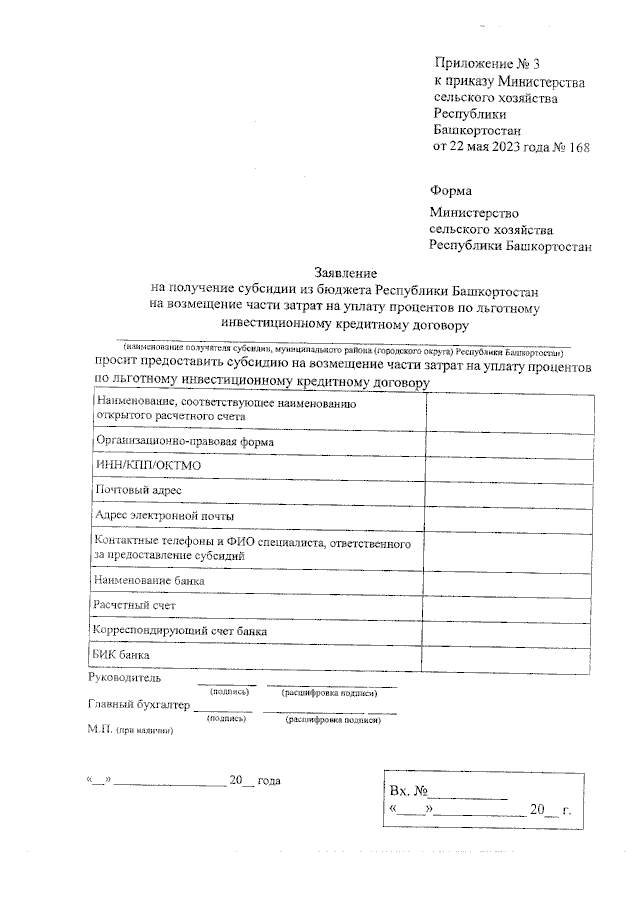
Приказ Министерства сельского хозяйства Республики Башкортостан от 22.05.2023 № 168
"О реализации постановления Правительства Республики Башкортостан от 7 марта 2018 года № 89 "Об утверждении Порядка предоставления субсидий из бюджета Республики Башкортостан на возмещение части процентной ставки по инвестиционным кредитам в агропромышленном комплексе"
(Зарегистрирован 02.06.2023 № 20374)
Номер опубликования: 0201202306090017
Дата опубликования: 09.06.2023
Страница №7 из 7:
Увеличить