Официальное опубликование правовых актов
ОФИЦИАЛЬНОЕ ОПУБЛИКОВАНИЕ
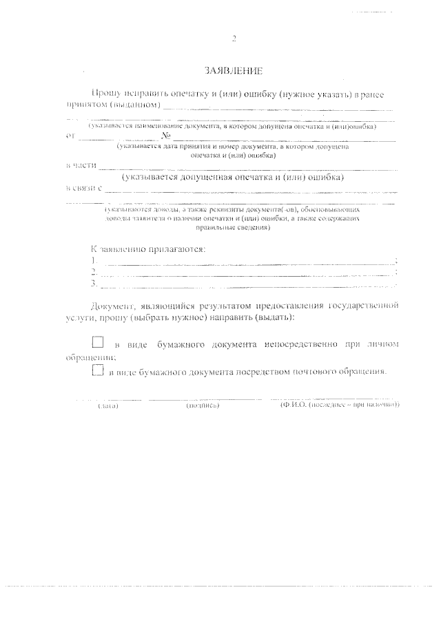
Приказ Министерства строительства и архитектуры Республики Башкортостан от 28.03.2023 № 117
"Об утверждении Административного регламента предоставления органами местного самоуправления муниципальных районов и городских округов Республики Башкортостан государственной услуги "Предоставление инвалидам и семьям, имеющим детей-инвалидов, нуждающимся в жилых помещениях, предоставляемых по договорам социального найма, вставшим на учет после 1 января 2005 года и страдающим тяжелыми формами хронических заболеваний, указанных в предусмотренном пунктом 4 части 1 статьи 51 Жилищного кодекса Российской Федерации перечне, социальных выплат на приобретение жилого помещения"
(Зарегистрирован 19.05.2023 № 20322)
Номер опубликования: 0201202305260006
Дата опубликования: 26.05.2023
Страница №41 из 53:
Увеличить