Приказ Министерства культуры Республики Башкортостан от 23.01.2023 № М05-12
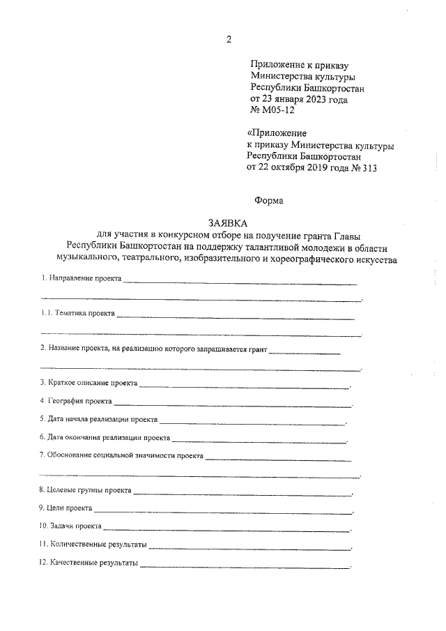
"О внесении изменений в приказ Министерства культуры Республики Башкортостан от 22 октября 2019 года № 313 "Об утверждении формы заявки для участия в конкурсе на предоставление гранта Главы Республики Башкортостан на поддержку талантливой молодежи в области музыкального, театрального, изобразительного и хореографического искусства"
(Зарегистрирован 16.03.2023 № 20139)
"О внесении изменений в приказ Министерства культуры Республики Башкортостан от 22 октября 2019 года № 313 "Об утверждении формы заявки для участия в конкурсе на предоставление гранта Главы Республики Башкортостан на поддержку талантливой молодежи в области музыкального, театрального, изобразительного и хореографического искусства"
(Зарегистрирован 16.03.2023 № 20139)
Номер опубликования: 0201202303230001
Дата опубликования:
23.03.2023
