Официальное опубликование правовых актов
ОФИЦИАЛЬНОЕ ОПУБЛИКОВАНИЕ
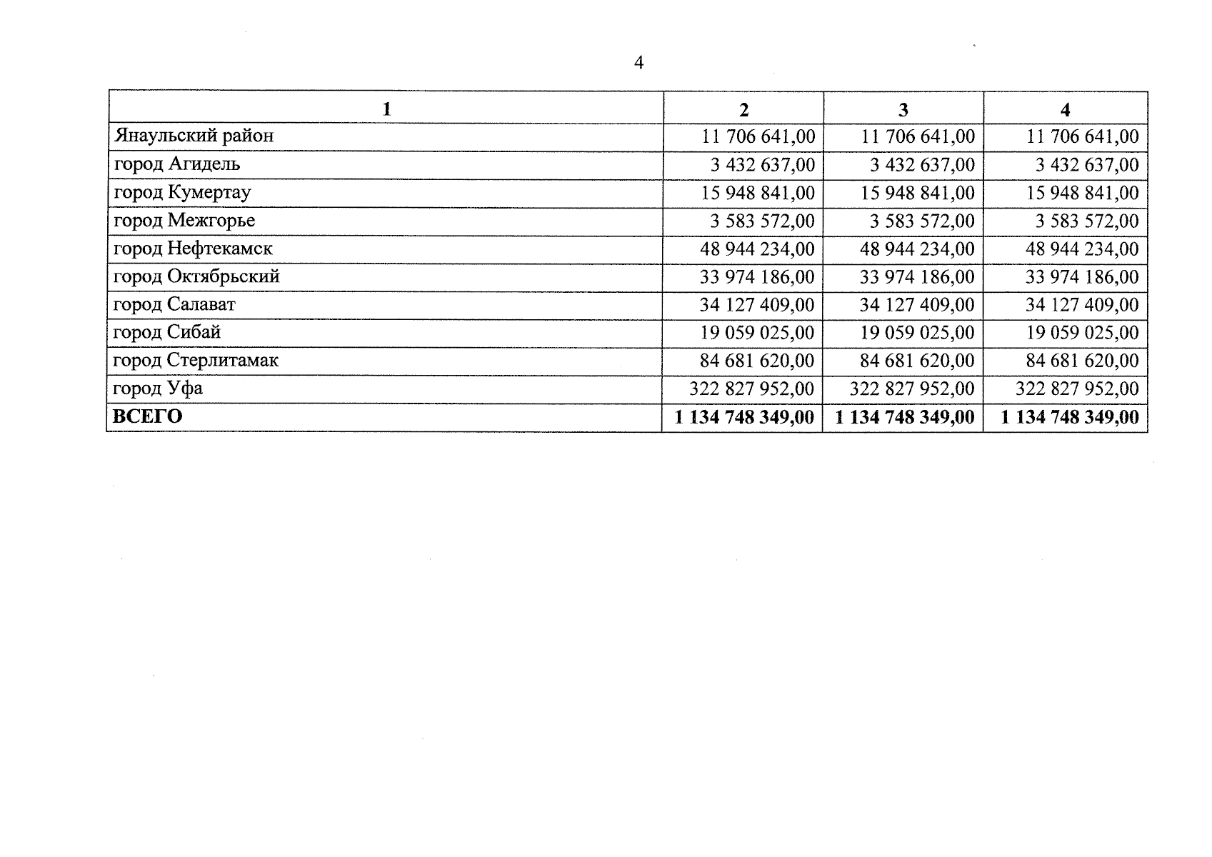
Закон Республики Башкортостан от 22.12.2025 № 375-з
"О бюджете Республики Башкортостан на 2026 год и на плановый период 2027 и 2028 годов"
Номер опубликования: 0200202512260018
Дата опубликования: 26.12.2025
Страница №2051 из 2117:
Увеличить