Официальное опубликование правовых актов
ОФИЦИАЛЬНОЕ ОПУБЛИКОВАНИЕ
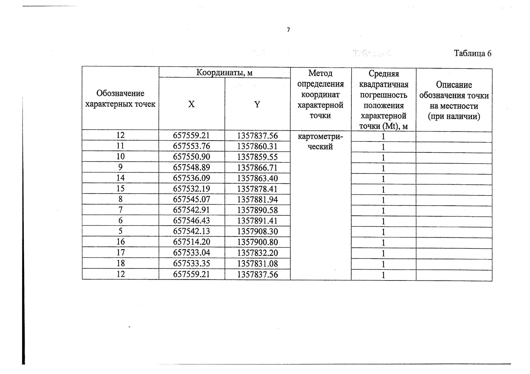
Постановление Правительства Республики Башкортостан от 20.10.2025 № 474
"Об утверждении границ зон охраны объекта культурного наследия регионального значения "Дом, где жила семья революционеров Кадомцевых", расположенного по адресу: Республика Башкортостан, г. Уфа, ул. Пушкина, 52, режимов использования земель и требований к градостроительным регламентам в границах территории данных зон"
Номер опубликования: 0200202510240005
Дата опубликования: 24.10.2025
Страница №9 из 16:
Увеличить