Официальное опубликование правовых актов
ОФИЦИАЛЬНОЕ ОПУБЛИКОВАНИЕ
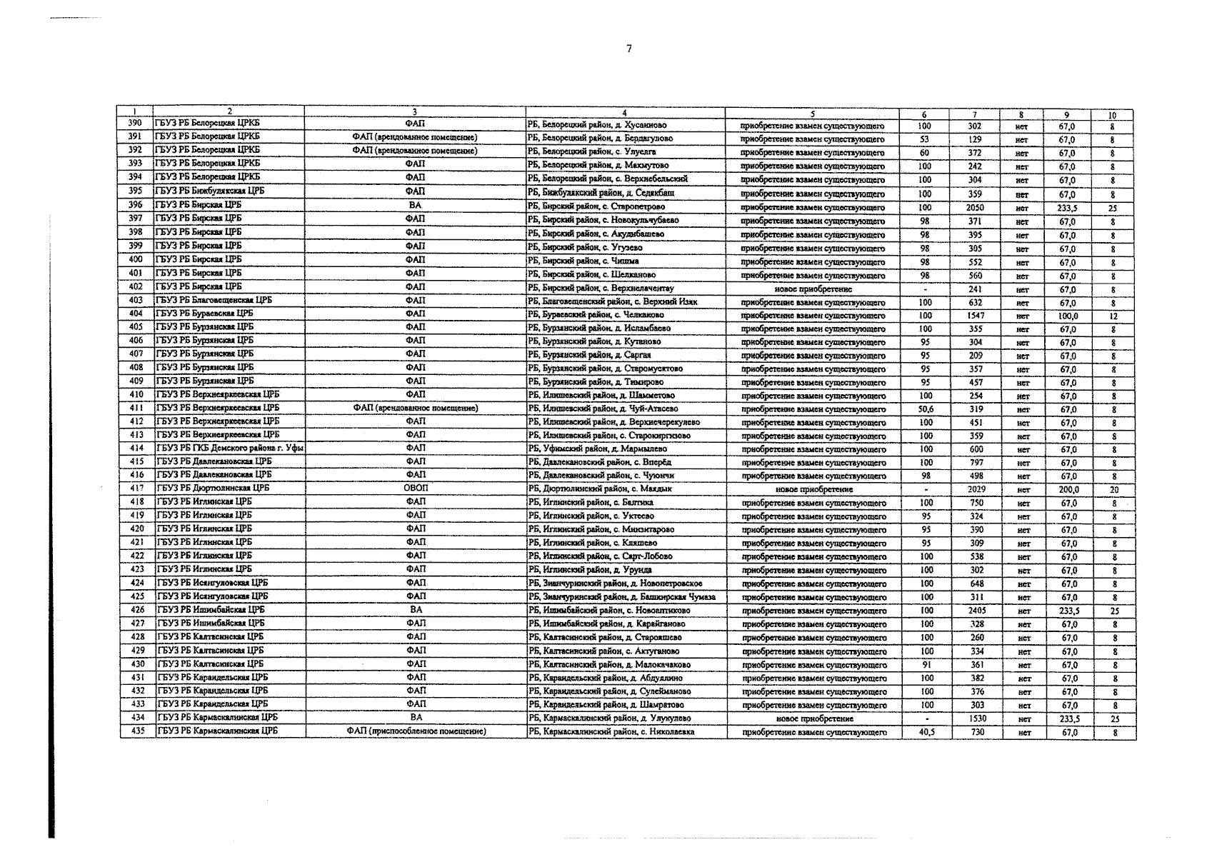
Постановление Правительства Республики Башкортостан от 07.10.2025 № 469
"О внесении изменений в региональную программу "Модернизация первичного звена здравоохранения Республики Башкортостан"
Номер опубликования: 0200202510100001
Дата опубликования: 10.10.2025
Страница №8 из 17:
Увеличить