Официальное опубликование правовых актов
ОФИЦИАЛЬНОЕ ОПУБЛИКОВАНИЕ
Закон Республики Башкортостан от 27.03.2025 № 239-з
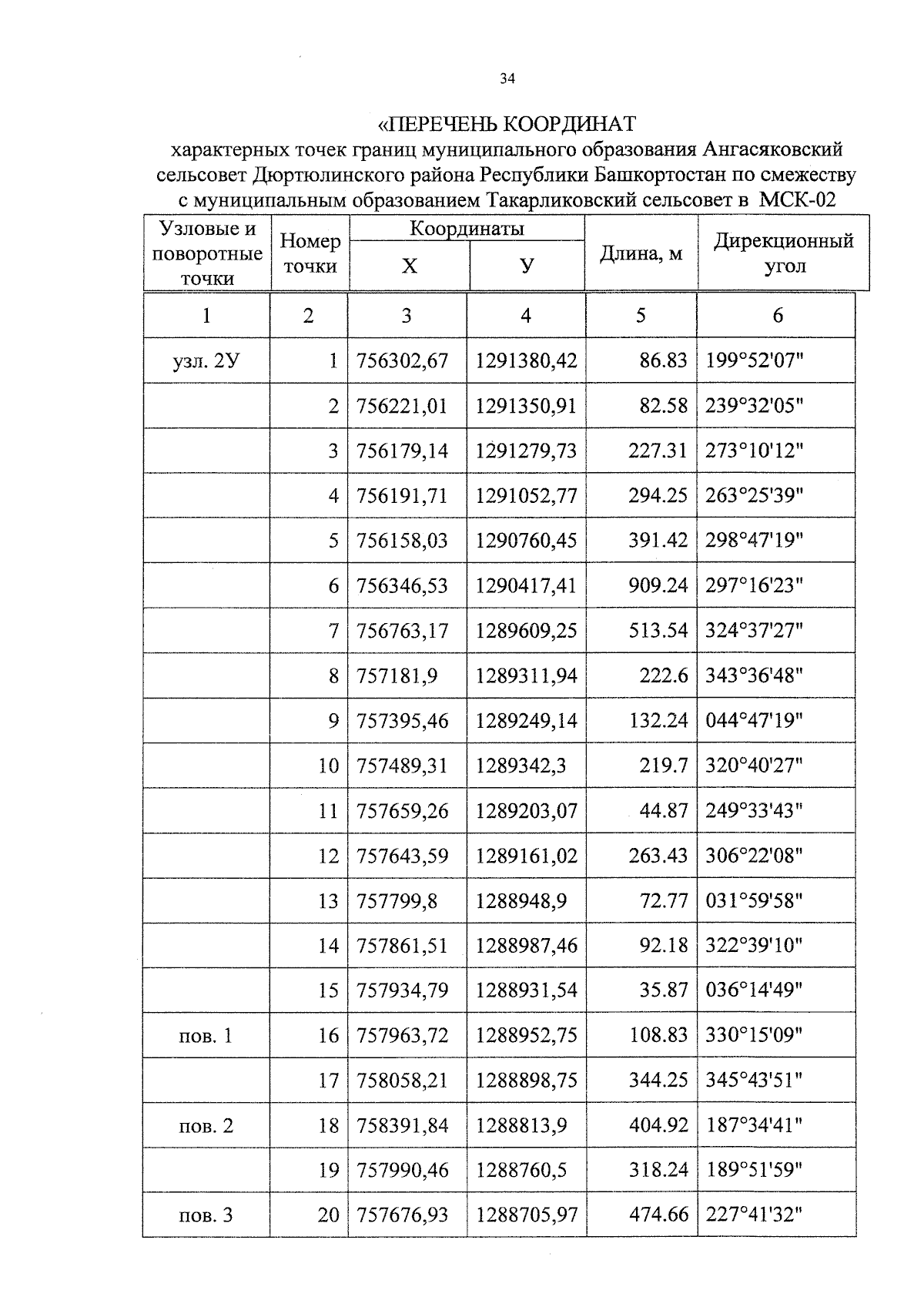
"Об изменениях в административно-территориальном устройстве Республики Башкортостан и изменении границ отдельных муниципальных образований в Дюртюлинском районе Республики Башкортостан"
Номер опубликования: 0200202504020001
Дата опубликования: 02.04.2025
Страница №34 из 46:
Увеличить