Официальное опубликование правовых актов
ОФИЦИАЛЬНОЕ ОПУБЛИКОВАНИЕ
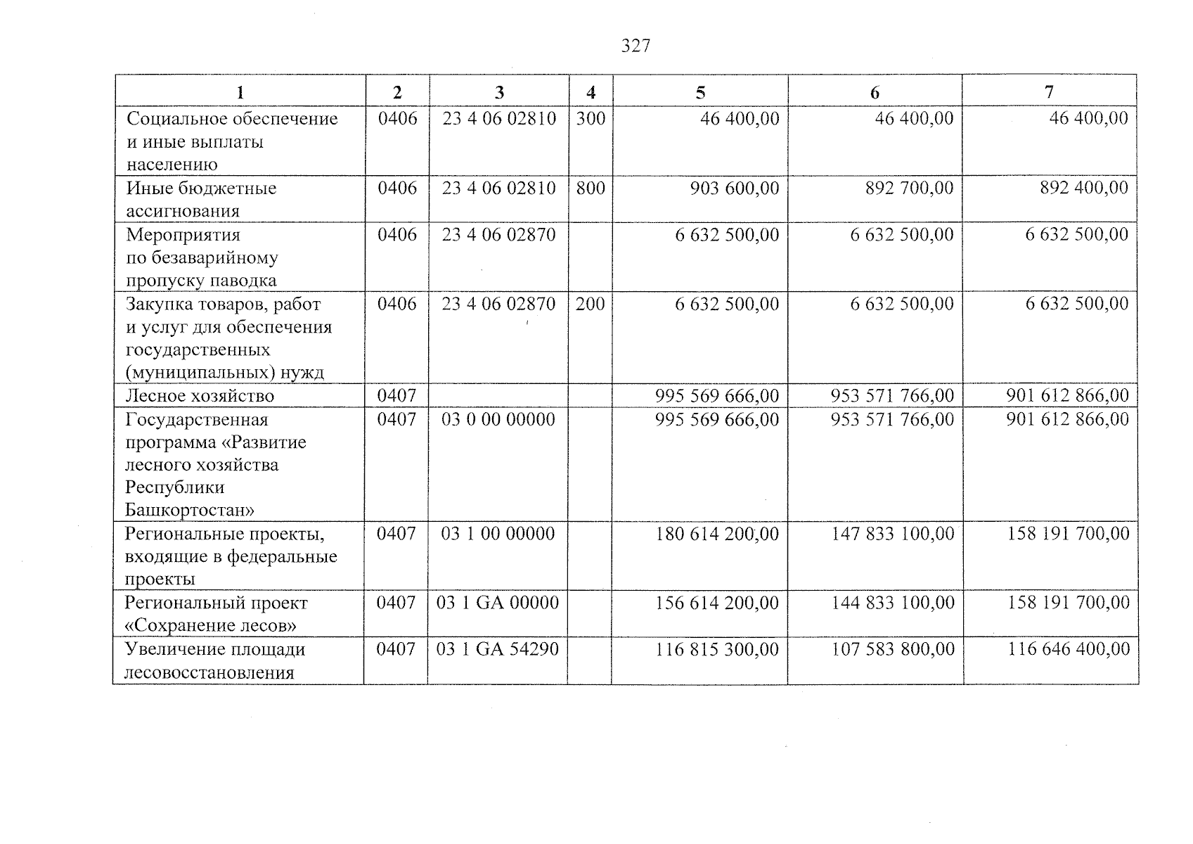
Закон Республики Башкортостан от 30.10.2024 № 166-з
"О внесении изменений в Закон Республики Башкортостан "О бюджете Республики Башкортостан на 2024 год и на плановый период 2025 и 2026 годов"
Номер опубликования: 0200202411070001
Дата опубликования: 07.11.2024
Страница №327 из 1898:
Увеличить