Официальное опубликование правовых актов
ОФИЦИАЛЬНОЕ ОПУБЛИКОВАНИЕ
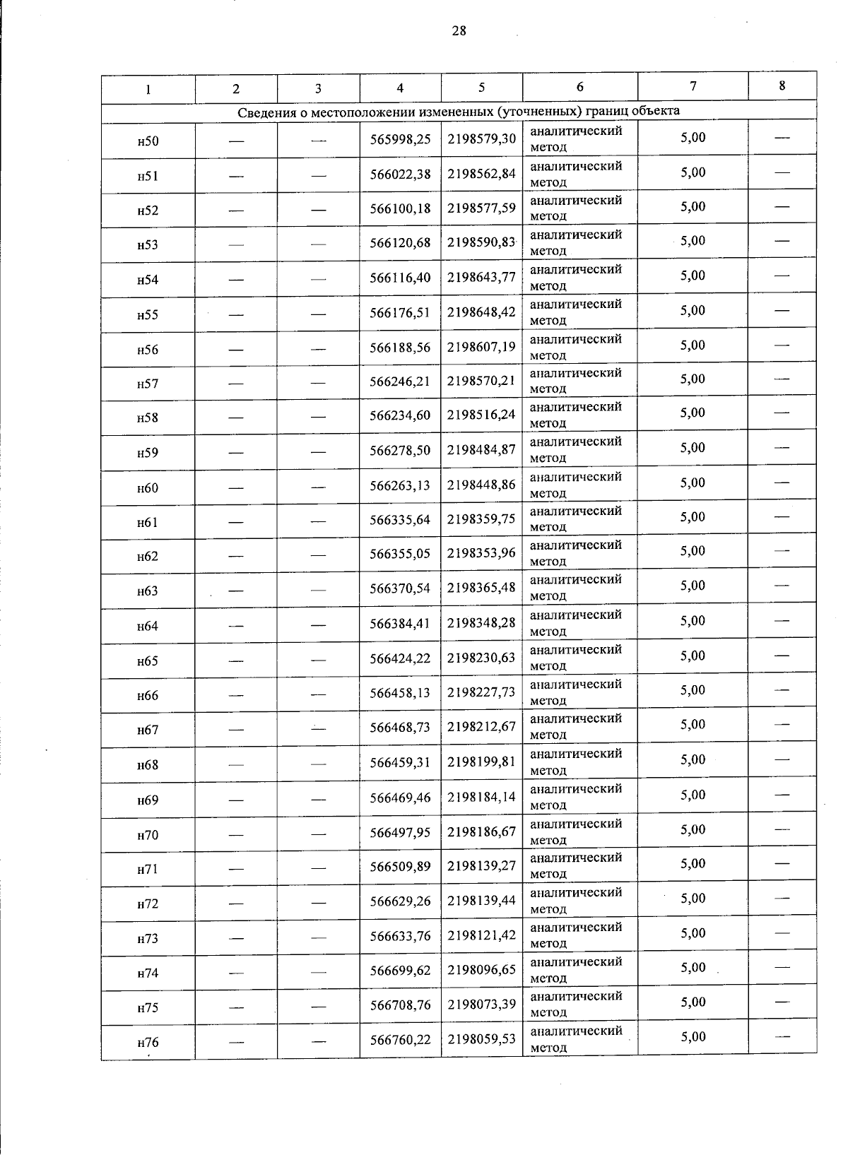
Постановление Правительства Республики Башкортостан от 18.04.2024 № 145
"Об изменении границ горно-санитарной охраны курорта "Красноусольск" в Республике Башкортостан"
Номер опубликования: 0200202404250005
Дата опубликования: 25.04.2024
Страница №29 из 37:
Увеличить