Официальное опубликование правовых актов
ОФИЦИАЛЬНОЕ ОПУБЛИКОВАНИЕ
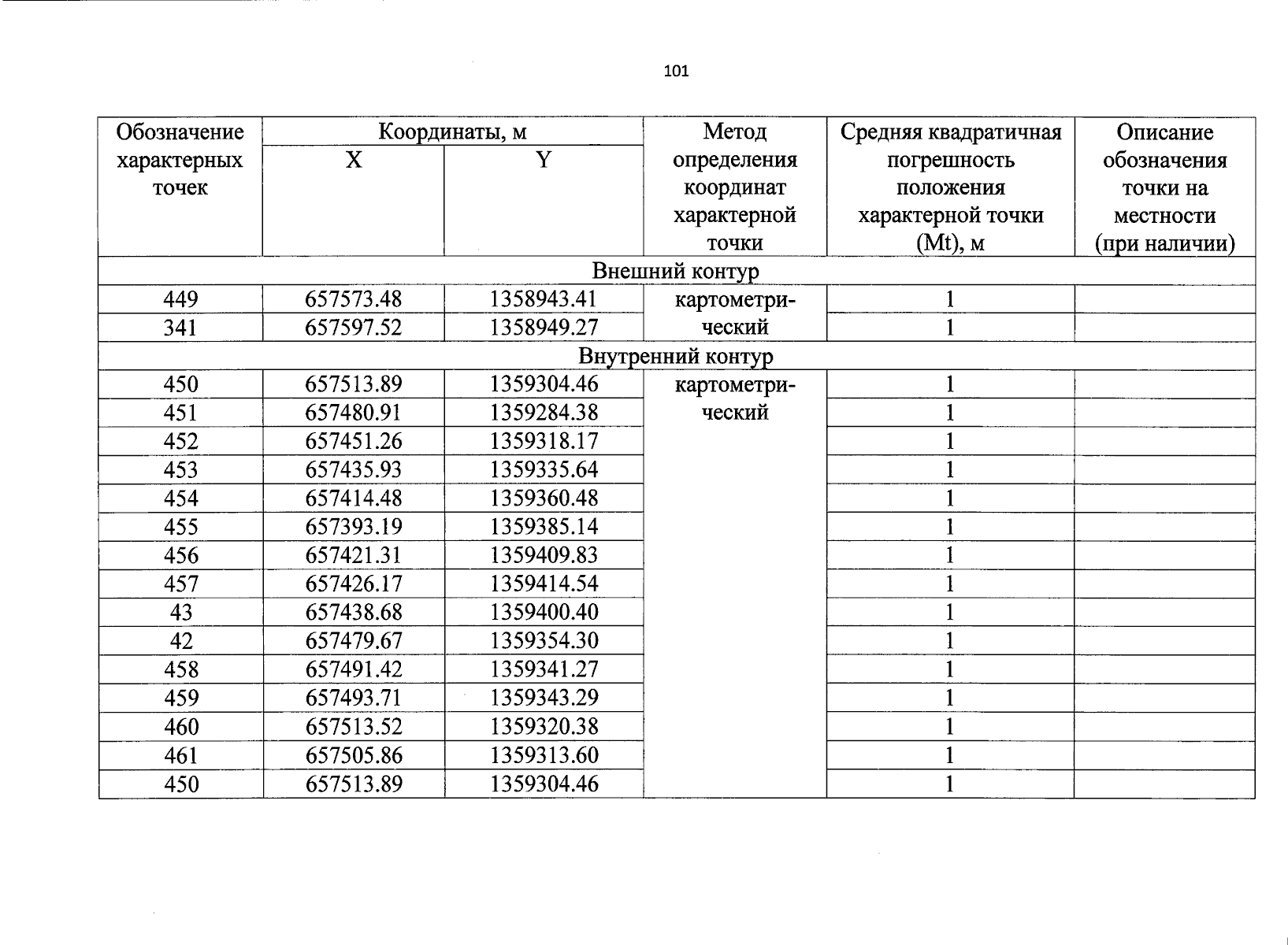
Постановление Правительства Республики Башкортостан от 03.10.2023 № 594
"Об утверждении границ объединенной зоны охраны объектов культурного наследия (памятников истории и культуры) народов Российской Федерации регионального значения, расположенных по улице Октябрьской революции в г. Уфе Республики Башкортостан, режимов использования земель и требований к градостроительным регламентам в границах территории зоны и признании утратившими силу некоторых постановлений Правительства Республики Башкортостан"
Номер опубликования: 0200202310120002
Дата опубликования: 12.10.2023
Страница №106 из 247:
Увеличить