Официальное опубликование правовых актов
ОФИЦИАЛЬНОЕ ОПУБЛИКОВАНИЕ
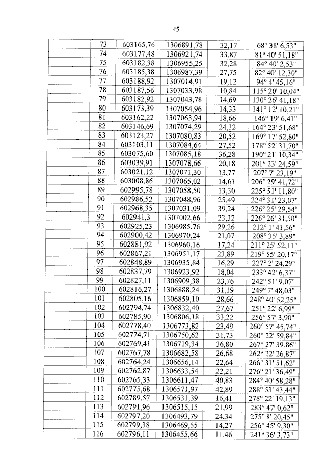
Закон Республики Башкортостан от 26.06.2023 № 741-з
"О внесении изменений в Закон Республики Башкортостан "О границах, статусе и административных центрах муниципальных образований в Республике Башкортостан"
Номер опубликования: 0200202307030010
Дата опубликования: 03.07.2023
Страница №45 из 116:
Увеличить