Официальное опубликование правовых актов
ОФИЦИАЛЬНОЕ ОПУБЛИКОВАНИЕ
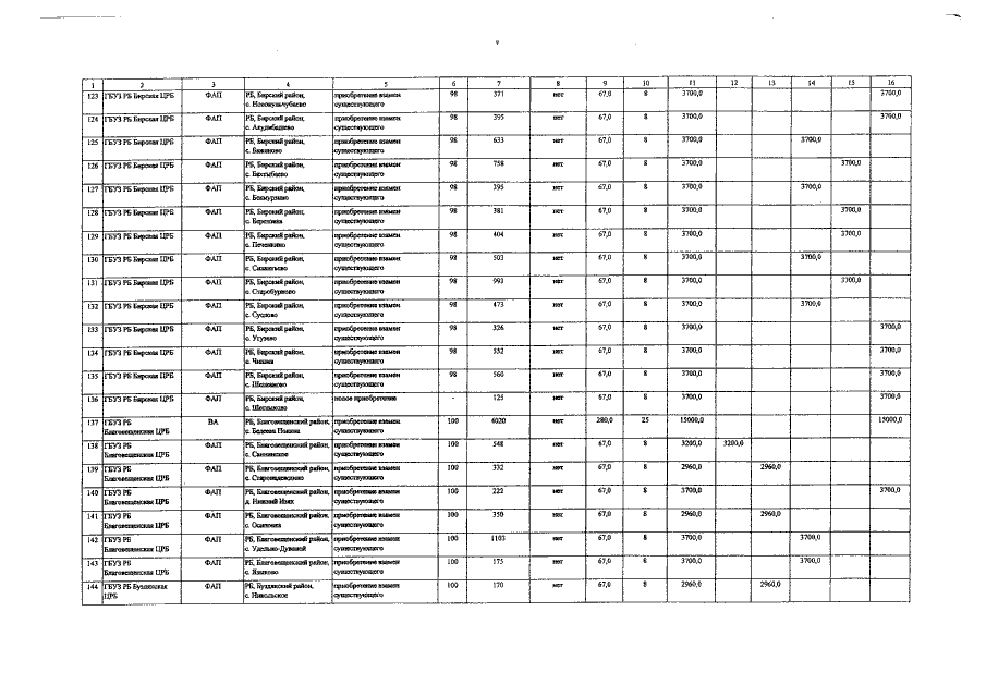
Постановление Правительства Республики Башкортостан от 05.12.2022 № 760
"О внесении изменений в региональную программу "Модернизация первичного звена здравоохранения Республики Башкортостан"
Номер опубликования: 0200202212060001
Дата опубликования: 06.12.2022
Страница №10 из 126:
Увеличить