Официальное опубликование правовых актов
ОФИЦИАЛЬНОЕ ОПУБЛИКОВАНИЕ
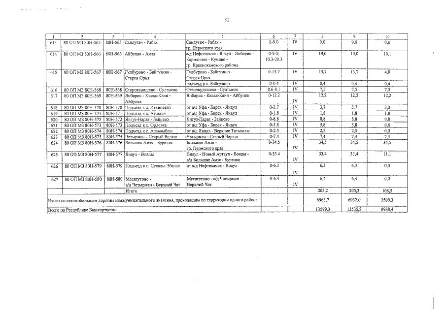
Постановление Правительства Республики Башкортостан от 09.11.2022 № 705
"О внесении изменений в перечень автомобильных дорог общего пользования регионального и межмуниципального значения Республики Башкортостан"
Номер опубликования: 0200202211110002
Дата опубликования: 11.11.2022
Страница №53 из 53:
Увеличить