Официальное опубликование правовых актов
ОФИЦИАЛЬНОЕ ОПУБЛИКОВАНИЕ
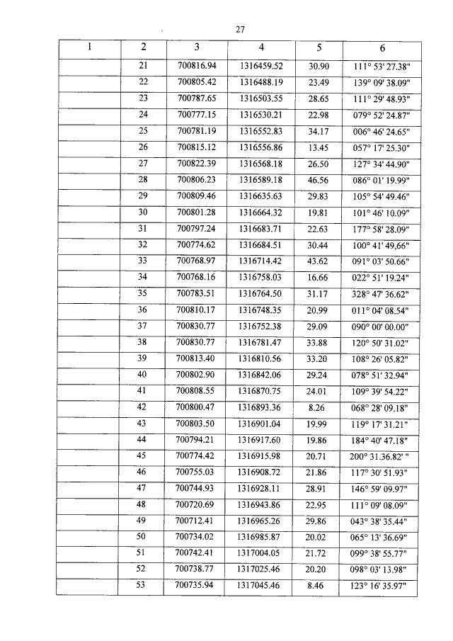
Закон Республики Башкортостан от 01.03.2017 № 471-з
"Об изменениях в административно-территориальном устройстве Республики Башкортостан и изменении границ отдельных муниципальных образований в Кушнаренковском районе Республики Башкортостан"
Номер опубликования: 0200201703070003
Дата опубликования: 07.03.2017
Страница №27 из 42:
Увеличить