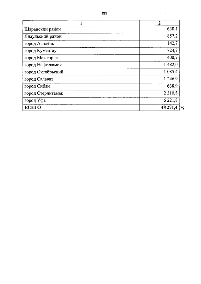
Закон Республики Башкортостан от 22.12.2016 № 444-з
"О внесении изменений в Закон Республики Башкортостан "О бюджете Республики Башкортостан на 2016 год и на плановый период 2017 и 2018 годов"
"О внесении изменений в Закон Республики Башкортостан "О бюджете Республики Башкортостан на 2016 год и на плановый период 2017 и 2018 годов"
Номер опубликования: 0200201612300002
Дата опубликования:
30.12.2016
