Приказ Министерства труда и социального развития Республики Адыгея от 02.02.2026 № 77
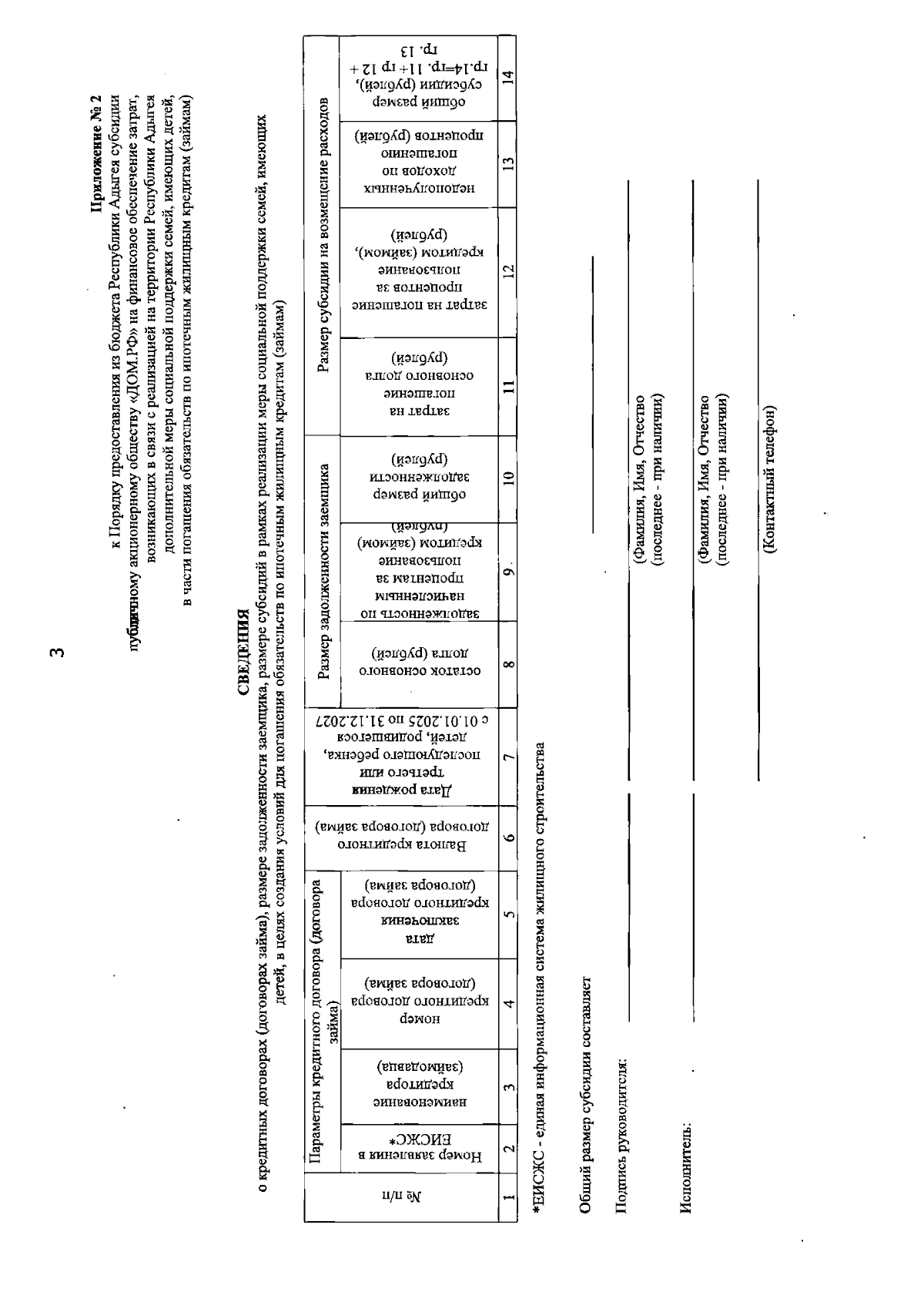
"О внесении изменений в приказ Министерства труда и социального развития Республики Адыгея от 21 июля 2025 года № 927 "О Порядке предоставления из бюджета Республики Адыгея субсидии акционерному обществу "ДОМ.РФ" на финансовое обеспечение затрат возникающих в связи с реализацией на территории Республики Адыгея дополнительной меры социальной поддержки семей, имеющих детей, в части погашения обязательств по ипотечным жилищным кредитам (займам)"
(Зарегистрирован 04.02.2026 № 26-30)
"О внесении изменений в приказ Министерства труда и социального развития Республики Адыгея от 21 июля 2025 года № 927 "О Порядке предоставления из бюджета Республики Адыгея субсидии акционерному обществу "ДОМ.РФ" на финансовое обеспечение затрат возникающих в связи с реализацией на территории Республики Адыгея дополнительной меры социальной поддержки семей, имеющих детей, в части погашения обязательств по ипотечным жилищным кредитам (займам)"
(Зарегистрирован 04.02.2026 № 26-30)
Номер опубликования: 0101202602040001
Дата опубликования:
04.02.2026
