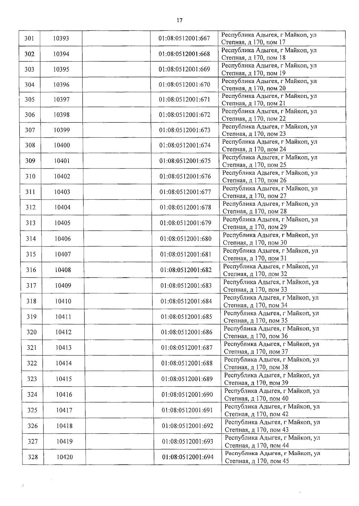
Приказ Комитета Республики Адыгея по имущественным отношениям от 14.05.2025 № 99-ОД
"О внесении изменений в перечень объектов недвижимого имущества, налоговая база в отношении которых определяется как кадастровая стоимость, утвержденный приказом Комитета Республики Адыгея по имущественным отношениям от 29 декабря 2023 года № 520 "Об утверждении перечня объектов недвижимого имущества, налоговая база в отношении которых определяется как кадастровая стоимость, на 2024 год"
(Зарегистрирован 19.05.2025 № 25-140)
"О внесении изменений в перечень объектов недвижимого имущества, налоговая база в отношении которых определяется как кадастровая стоимость, утвержденный приказом Комитета Республики Адыгея по имущественным отношениям от 29 декабря 2023 года № 520 "Об утверждении перечня объектов недвижимого имущества, налоговая база в отношении которых определяется как кадастровая стоимость, на 2024 год"
(Зарегистрирован 19.05.2025 № 25-140)
Номер опубликования: 0101202505210002
Дата опубликования:
21.05.2025
