Официальное опубликование правовых актов
ОФИЦИАЛЬНОЕ ОПУБЛИКОВАНИЕ
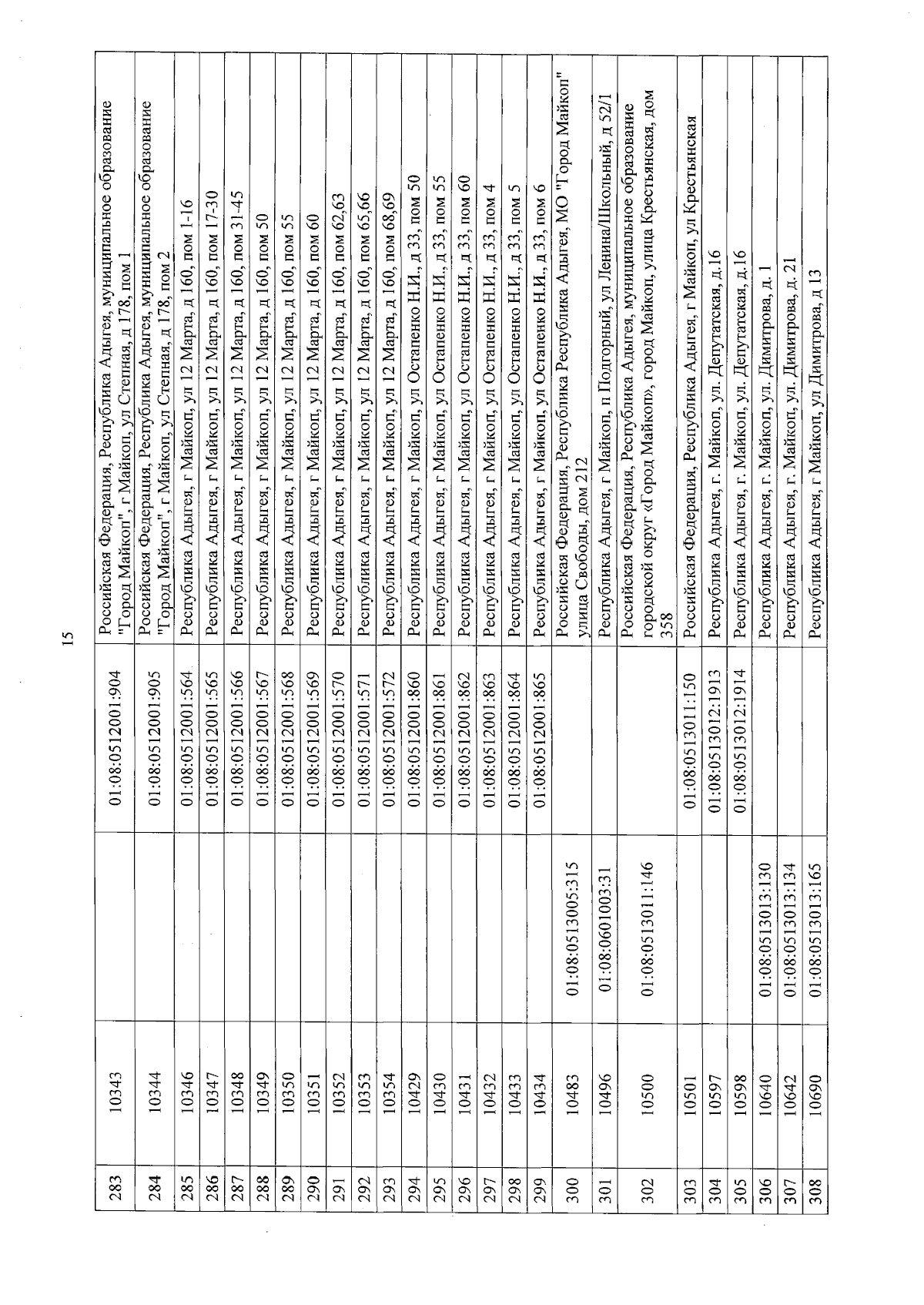
Приказ Комитета Республики Адыгея по имущественным отношениям от 28.02.2025 № 31-ОД
"О внесении изменений в перечень объектов недвижимого имущества, налоговая база в отношении которых определяется как кадастровая стоимость, утвержденный приказом Комитета Республики Адыгея по имущественным отношениям от 29 декабря 2023 года № 520 "Об утверждении перечня объектов недвижимого имущества, налоговая база в отношении которых определяется как кадастровая стоимость, на 2024 год"
(Зарегистрирован 06.03.2025 № 25-41)
Номер опубликования: 0101202503110016
Дата опубликования: 11.03.2025
Страница №17 из 26:
Увеличить