Официальное опубликование правовых актов
ОФИЦИАЛЬНОЕ ОПУБЛИКОВАНИЕ
Приказ Комитета Республики Адыгея по имущественным отношениям от 12.04.2024 № 116-ОД
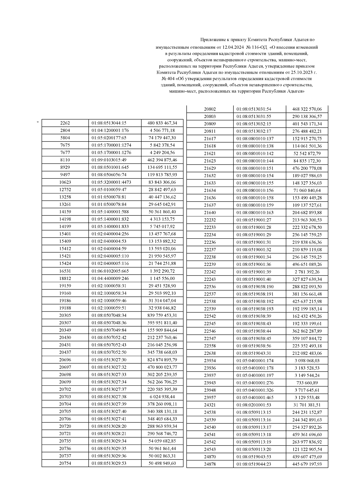
"О внесении изменений в результаты определения кадастровой стоимости зданий, помещений, сооружений, объектов незавершенного строительства, машино-мест, расположенных на территории Республики Адыгея, утвержденные приказом Комитета Республики Адыгея по имущественным отношениям от 25.10.2023 г. N 404 "Об утверждении результатов определения кадастровой стоимости зданий, помещений, сооружений, объектов незавершенного строительства, машино-мест, расположенных на территории Республики Адыгея"
(Зарегистрирован 23.04.2024 № 24-141)
Номер опубликования: 0101202404250002
Дата опубликования: 25.04.2024
Страница №4 из 274:
Увеличить