Официальное опубликование правовых актов
ОФИЦИАЛЬНОЕ ОПУБЛИКОВАНИЕ
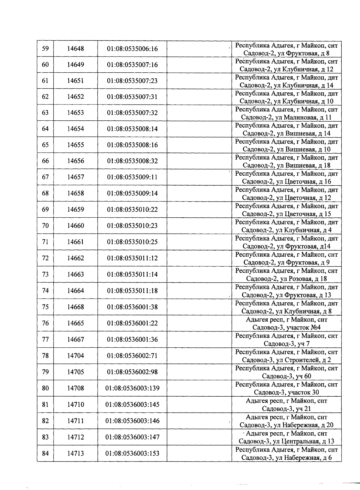
Приказ Комитета Республики Адыгея по имущественным отношениям от 12.10.2023 № 381
"О внесении изменений в перечень объектов недвижимого имущества, налоговая база в отношении которых определяется как кадастровая стоимость, утвержденный приказом Комитета Республики Адыгея по имущественным отношениям от 29 декабря 2021 года № 430 "Об утверждении перечня объектов недвижимого имущества, налоговая база в отношении которых определяется как кадастровая стоимость, на 2022 год"
(Зарегистрирован 12.10.2023 № 23-281)
Номер опубликования: 0101202310170004
Дата опубликования: 17.10.2023
Страница №6 из 13:
Увеличить