Официальное опубликование правовых актов
ОФИЦИАЛЬНОЕ ОПУБЛИКОВАНИЕ
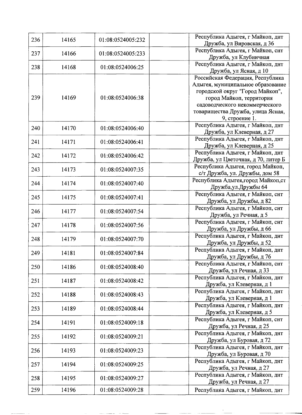
Приказ Комитета Республики Адыгея по имущественным отношениям от 09.10.2023 № 372
"О внесении изменений в перечень объектов недвижимого имущества, налоговая база в отношении которых определяется как кадастровая стоимость, утвержденный приказом Комитета Республики Адыгея по имущественным отношениям от 29 декабря 2021 года № 430 "Об утверждении перечня объектов недвижимого имущества, налоговая база в отношении которых определяется как кадастровая стоимость, на 2022 год"
(Зарегистрирован 12.10.2023 № 23-276)
Номер опубликования: 0101202310160001
Дата опубликования: 16.10.2023
Страница №14 из 26:
Увеличить