Официальное опубликование правовых актов
ОФИЦИАЛЬНОЕ ОПУБЛИКОВАНИЕ
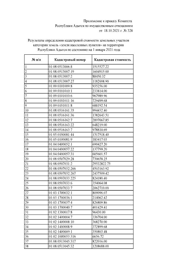
Приказ Комитета Республики Адыгея по имущественным отношениям от 18.10.2021 № 328
"Об утверждении результатов определения кадастровой стоимости земельных участков категории земель "земли населенных пунктов" на территории Республики Адыгея"
Номер опубликования: 0101202110190001
Дата опубликования: 19.10.2021
Страница №3 из 3879:
Увеличить