Официальное опубликование правовых актов
ОФИЦИАЛЬНОЕ ОПУБЛИКОВАНИЕ
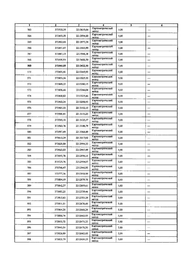
Приказ Управления по охране окружающей среды и природным ресурсам Республики Адыгея от 24.11.2020 № 284-к
"Об утверждении границ функциональных зон природного парка Республики Адыгея "Верховье реки Цица"
Номер опубликования: 0101202011270003
Дата опубликования: 27.11.2020
Страница №21 из 43:
Увеличить