Официальное опубликование правовых актов
ОФИЦИАЛЬНОЕ ОПУБЛИКОВАНИЕ
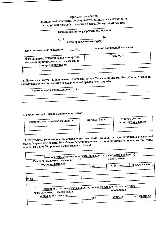
Приказ Управления лесами Республики Адыгея от 09.07.2018 № 143
"Об утверждении Методики проведения конкурсов на замещение вакантных должностей государственной гражданской службы в Управлении лесами Республики Адыгея и включения в кадровый резерв Управления лесами Республики Адыгея"
Номер опубликования: 0101201807170011
Дата опубликования: 17.07.2018
Страница №13 из 15:
Увеличить