Официальное опубликование правовых актов
ОФИЦИАЛЬНОЕ ОПУБЛИКОВАНИЕ
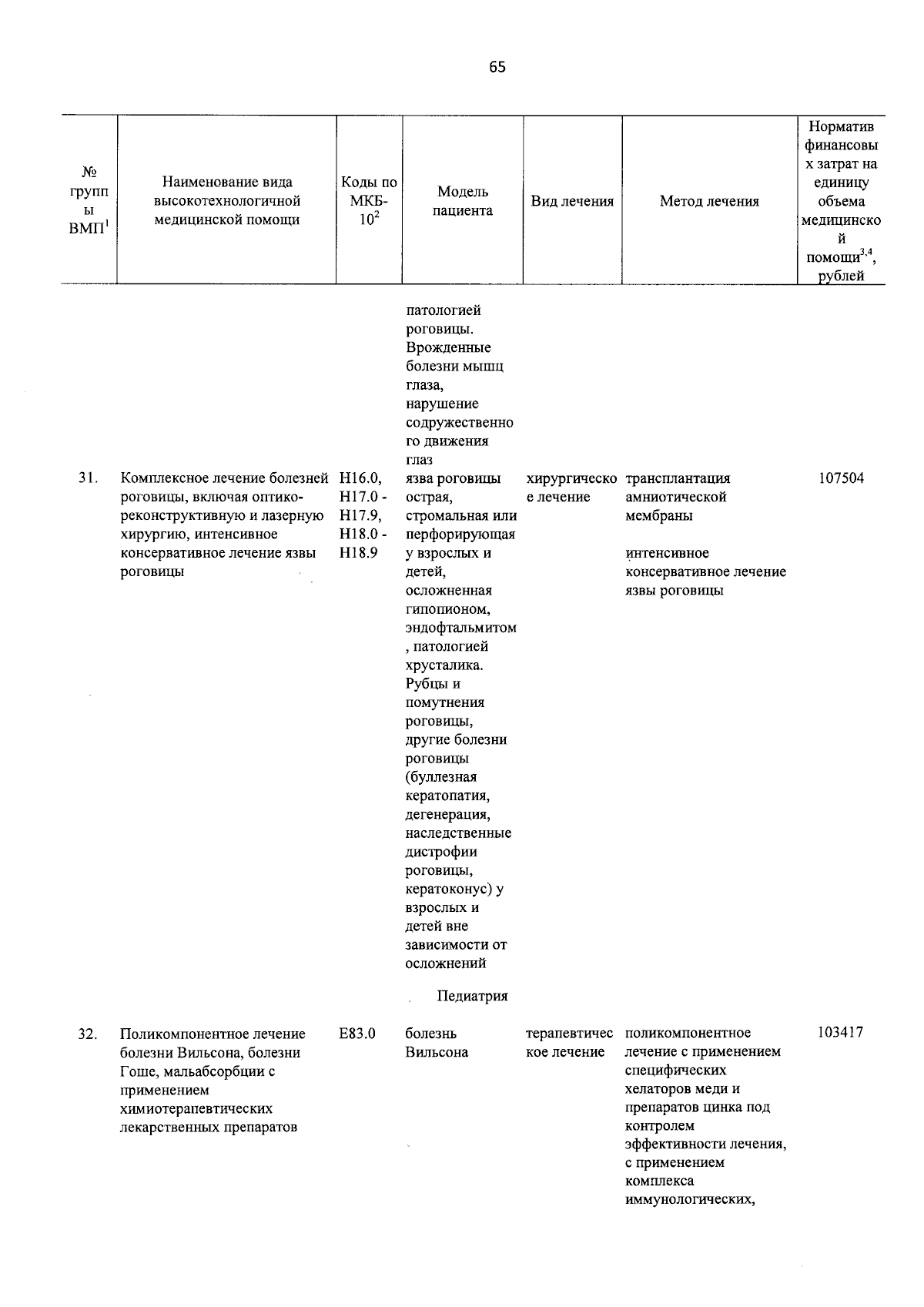
Постановление Кабинета Министров Республики Адыгея от 27.05.2024 № 71
"О внесении изменений в Территориальную программу государственных гарантий бесплатного оказания гражданам медицинской помощи в Республике Адыгея на 2024 год и на плановый период 2025 и 2026 годов"
Номер опубликования: 0100202405310001
Дата опубликования: 31.05.2024
Страница №66 из 285:
Увеличить