Официальное опубликование правовых актов
ОФИЦИАЛЬНОЕ ОПУБЛИКОВАНИЕ
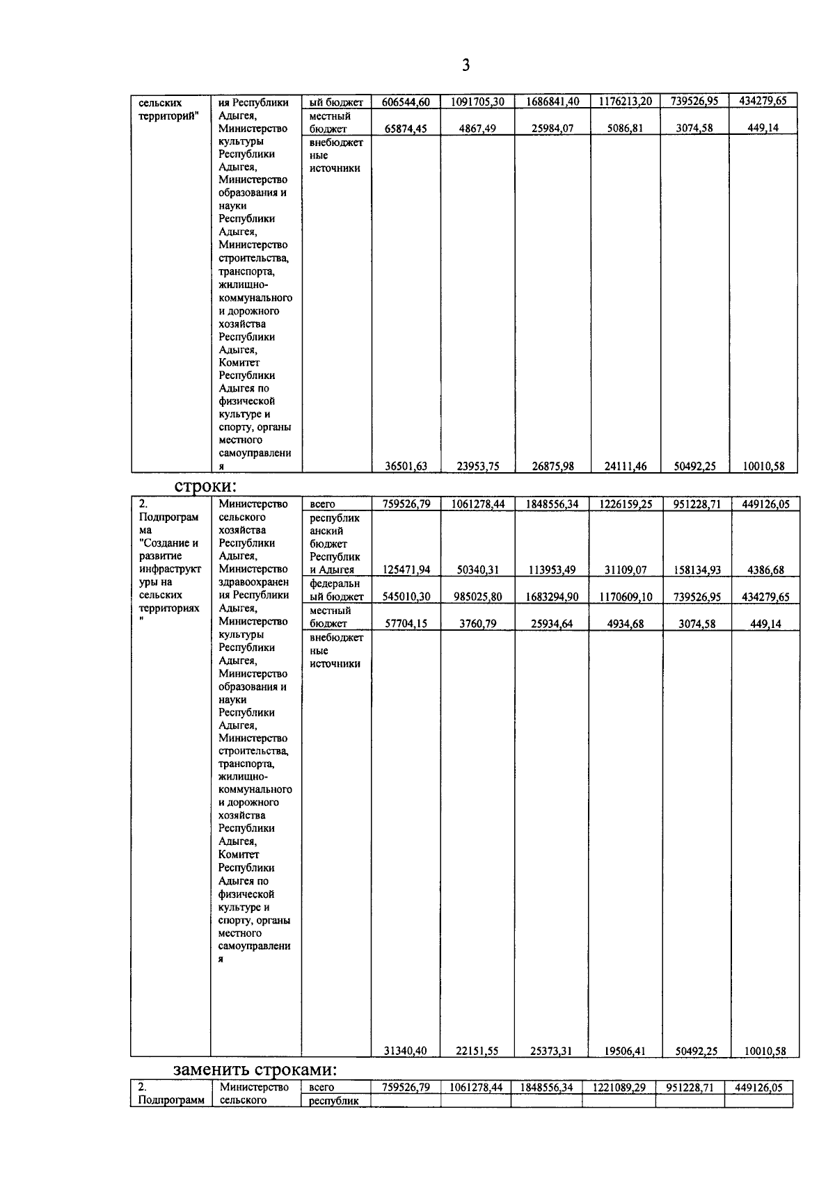
Постановление Кабинета Министров Республики Адыгея от 26.12.2023 № 345
"О внесении изменений в государственную программу Республики Адыгея "Комплексное развитие сельских территорий"
Номер опубликования: 0100202312270004
Дата опубликования: 27.12.2023
Страница №4 из 6:
Увеличить