Распоряжение Кабинета Министров Республики Адыгея от 14.09.2023 № 315-р
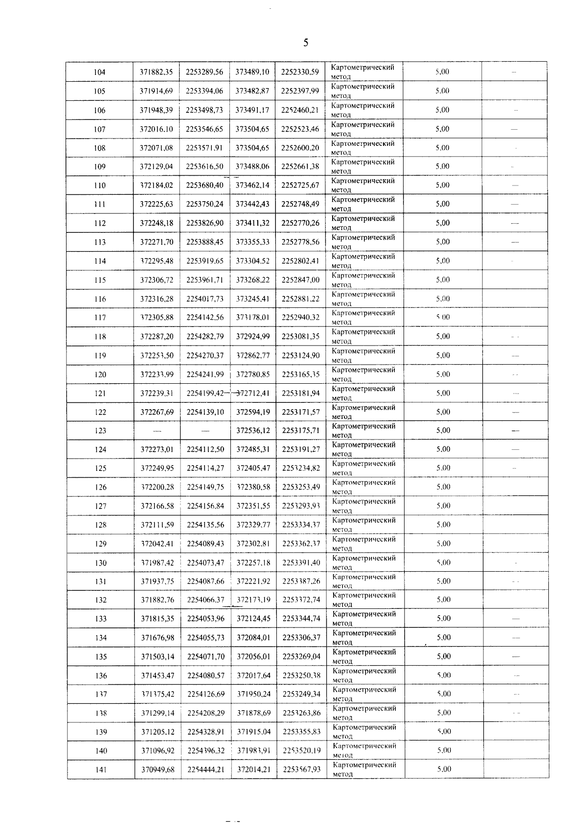
"О сведениях о границах природного парка Республики Адыгея "Большой Тхач"
"О сведениях о границах природного парка Республики Адыгея "Большой Тхач"
Номер опубликования: 0100202309150005
Дата опубликования:
15.09.2023
